Back to Home

Unit 1: PURE ARITHMETIC

RATIONAL & IRRATIONAL NUMBER

Difficulty Level

Easy
Medium
Hard
categories

Difficulty Level

Easy
Medium
Hard

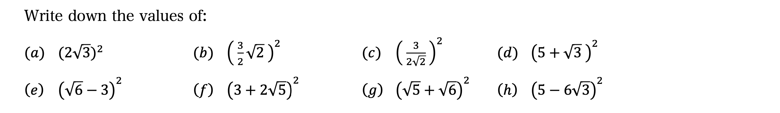
Question 8 (a)

ICSE IXLearning ResourcesRATIONAL & IRRATIONAL NUMBER → Question Bank

EASY

Question 8 (b)

ICSE IXLearning ResourcesRATIONAL & IRRATIONAL NUMBER → Question Bank

EASY

Question 8 (c)

ICSE IXLearning ResourcesRATIONAL & IRRATIONAL NUMBER → Question Bank

EASY

Question 9 (a)

ICSE IXLearning ResourcesRATIONAL & IRRATIONAL NUMBER → Question Bank

EASY

Question 9 (b)

ICSE IXLearning ResourcesRATIONAL & IRRATIONAL NUMBER → Question Bank

EASY

Question 9 (c)

ICSE IXLearning ResourcesRATIONAL & IRRATIONAL NUMBER → Question Bank

EASY

Question 9 (d)

ICSE IXLearning ResourcesRATIONAL & IRRATIONAL NUMBER → Question Bank

EASY

Great Work!

You Have Completed Key Concepts.

Trusted ICSE Mathematics Materials

  • Our resources are meticulously crafted by seasoned ICSE educators with years of experience and a deep understanding of the subject matter.
  • They ensure alignment with the board's standards and examination patterns.
  • Dive into a wealth of materials designed to empower your understanding and excel in ICSE Mathematics.

Achieve Superior Academic Performance

  • Witness remarkable grade improvement and confidence boost as you master advanced mathematical concepts.
  • Our curriculum equips you to tackle complex problems and enhances your everyday life with practical applications of mathematical skills.
  • Benefit from our extensive collection of solved problems with video solutions, facilitating effortless comprehension of key concepts.

Your Ultimate Destination for ICSE Mathematics Mastery

  • Access an abundance of practice questions and comprehensive test papers tailored to your ICSE syllabus.
  • Elevate your learning with our video solutions, designed for seamless independent study.
  • Benefit from meticulously organized self-learning materials and unit-wise testing for a structured approach to mastering ICSE Mathematics.

Flexible Learning on Your Schedule

  • Access high-quality learning materials anytime, anywhere with our flexible platform.
  • Study at your own pace, whether you're a night owl, early bird, or in between.
  • Our resources are available 24/7, ensuring learning fits effortlessly into your lifestyle.

Stay Connected on Mobile:
Join Our Telegram Channel